高等数学,定积分之积分中值定理,证明
高等数学,定积分之积分中值定理,证明
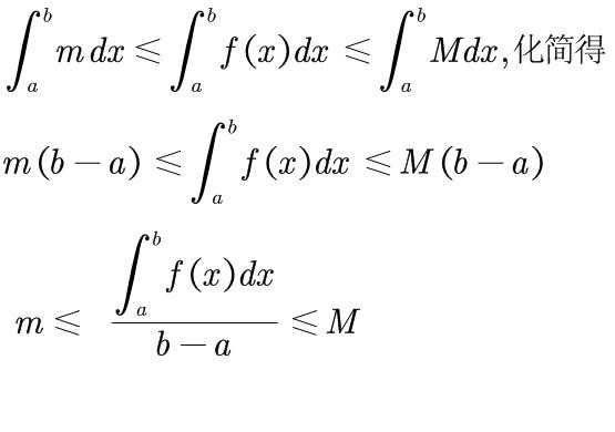
定积分中有一个积分中值定理,定义如下图所示:

证明这个定理需要用到介值定理:

然后对这个不等式进行积分,如下:

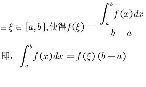
然后再根据介值定理,可证结论:

此外,还有一个积分中值定理的推广,证法完全不同,用法也不同!下期,再证明。
相关标签:
-
- 2020全国各省人口数排名:广东第一,山东第二
-
2025-12-29 00:53:57
-
- 王思聪录节目直播被砸场 真相万万想不到
-
2025-12-29 00:51:42
-
- 燃气日报:新奥燃气发布23年年报;充装站长期在液化气中掺二甲醚
-
2025-12-29 00:49:28
-
- 全国6日起迎返程高峰 将持续到10月8日
-
2025-12-29 00:47:13
-
- 胡歌,帅气写真(组图)
-
2025-12-29 00:44:59
-
- 刀剑神域黑衣剑士亚丝娜图鉴 亚丝娜人物介绍
-
2025-12-28 13:01:21
-
- 中药——五倍子
-
2025-12-28 12:59:07
-
- 赵丽颖健身照曝光 我家包子运动后美美哒
-
2025-12-28 12:56:52
-
- 烟花求婚引火灾现场照片 烟花求婚为什么引起火灾火势大吗
-
2025-12-28 12:54:38
-
- 秦岚吴磊十年对比挑战
-
2025-12-28 12:52:23
-
- 偶像女团成员GNZ48-刘力菲迷人可爱美照
-
2025-12-28 12:50:09
-
- 均方根值公式
-
2025-12-28 12:47:55
-
- 过年啦!去兰州老街看灯会吧
-
2025-12-28 12:45:41
-
- lol如何查看英雄成就
-
2025-12-28 12:43:27
-
- 土地计量单位亩与平方米的换算
-
2025-12-28 12:41:12
-
- 《雁南飞》 作者:蔚空
-
2025-12-28 01:12:54
-
- 谁能拒绝?这些可爱小女孩头像太上头
-
2025-12-28 01:10:40
-
- 苹果手机壳强致癌物超标近50倍,某“水钻”手机壳款铅超标1550倍!
-
2025-12-28 01:08:26
-
- 河北滦平:金山岭长城朝霞绚丽美不胜收
-
2025-12-28 01:06:12
-
- 郭氏始源 三省三地 一脉相承
-
2025-12-28 01:03:57



鲍国安儿子鲍毅个人简历(鲍国安儿子鲍毅年龄)